[最新] w¶ ¯^ {u q 204255-Y w u q o m
Apr 29, · Q Without U Words in Alphabetical Order These words are legal according to the Official Scrabble Players Dictionary, 4th Edition They may not be legal if you use a different dictionary The word list used in tournament games in the United States is known as the Official Tournament and Club Word List, created by the National Scrabble AssociationJ _"g 5It should be delta U=qw right?
29 Design Q A With Charles Eames By Sherry Wu Ux Collective
Y w u q o m
Y w u q o m-By quw, literature salt on your fingers scratching the earth in your sleep it is the age of discovery of a new rock bottom waste yourself to the smallest core chisel it and grind your teeth some more just until the dentist notices do not ever give in to your satisfaction billions of years of earth did not thrive for you to beM a w a d a b o u t i q u e 1,355 likes · 1 talking about this Product/Service Facebook is showing information to help you better understand the purpose of a Page



Pdf Femtosecond Laser Absorption In Fused Silica Numerical And Experimental Investigation
Jun 19, 21 · Byㅤhowㅤmuchㅤwillㅤtheㅤpriceㅤofㅤaㅤ30yearㅤzerocouponㅤbondㅤchangeㅤif,ㅤdueㅤtoㅤaㅤpermanentㅤchangeㅤ51 LR U V P S W Q 1 2 X N u 1 X M i 1 I R u i R u i gU u V T i 2 λ U2 XN u 1U from COMPUTER NETWORKS at Victoria University This preview shows page 11 13 out of pages4˘ ˘"''"In _ q 'Z '
V= U/q Gravitational Potential Energy difference mgh Gravitational Potential difference gh Units of potential difference 1 Volt = 1 Joule/Coulomb Potential difference is E distance Units of electric field N/C = Volts/m Energy to move an electron through a potential difference of 1 VoltScrabble players are acutely aware that Q is a tricky letter To use a Q in the game, a player must nearly always find an available U (We'll overlook the coveted twoletter word qi that any respectable Scrabble player will know) The fact that Q is the second most rarelyused letter in the alphabet certainly doesn't make using Q any easier Let's quest toward resolving the questions1 Use simple and multivariable linear regression analysis to complete the following table relating the characteristics listed to Glucose as a continuous variable Before conducting the analysis, be sure that all participants have complete data on all analysis
E \ h h s y h k lf oh v $ oz d \ v z r q g h u z k d w olih z r x og e h oln h li \ r x r z q h g d h h s " ' r \ r x v h f u h wo\ v h h n h h s 7 k u loov " 7 k h q h q wh u wk h z r u og r i h h s $ q g h y h u \ r q h h ov h mx v w j h wv oh iw e h k lq g 6 wh s lq wr wk h 6 h wBecause w would represent PexternalxDelta V And delta V can either be positive or negative So if expansion work is done delta V is positive and so the magnitude of w will be positive resulting in 'minusing the energy' from q in the internal energy equationThe Q&A is where you can get those answers Tell us what you want to know at TheQandA@wusa9com or use the hashtag #TheQandA on social media Then we'll get to work to get you're the answers



Welcome To Jianwei Sun Research Group At Hkust



Ppt Thermodynamics Chap 15 Note For Ap B Physics If It Says On Gas Use W P D V If It Says By Gas Use W P D V Always Powerpoint Presentation Id
Jan 14, · Q's followers believe that Q is a military intelligence operation, the first of its kind, whose goal is to provide the public with secret information Many Q followers think the QHistory The letter u ultimately comes from the Phoenician letter waw by way of the letter ySee the letter y for details During the late Middle Ages, two forms of 'v' developed, which were both used for its ancestor 'u' and modern 'v'The pointed form 'v' was written at the beginning of a word, while a rounded form 'u' was used in the middle or end, regardless of soundFind out what is the full meaning of QQW on Abbreviationscom!



Womens Justice Initiative Who We Are



Match Day A Milestone Moment Ochsner Md Program University Of Queensland
Find out what is the full meaning of UWQ on Abbreviationscom!U __ 'Q L, e" ciency e = W Q H = 1 !



Generate Code To Embed A Diagram In A Webpage Legacy Desk Do Not Use



All Categories
532k Followers, 850 Following, 1,311 Posts See Instagram photos and videos from J A C Q U E L I N E W O O D (@jacquelinemwood_1)V for isob aric pro ces se s heat = Q = heat absorb ed b y the system Q = 0 for adiab atic pro ces se s Heat E ngi nes W = Q H!' U q w system q is heat;



June Q Wu



Pdf Principal Eigenvalue And Positive Solutions For Fractional P Q Laplace Operator In Quantum Field Theory
De = q w (units are J/kg) In many situations the potential energy and the kinetic energy of the system are constant Then De = Du, and Du = q w or DU = Q W Q and W are path dependent, U is not it depends only on the state of the system, not how the system got to that stateMay 28, 06 · Keystrokes popularized from the text editor VIM/VI wq is a (casesensitive) combination of keystrokes popular among Linux programmers that will save the file and then exit the program Very popular among forum members as a way of say "I'm done" or "Finished" after making a statementSimply because we like to distinguish between the cause and effect terms The equation is a simple c



Developmental Domain 5c Fine Motor Pre Writing Bsmart



Department Of Chemistry Biochemistry Department Of Chemistry And Biochemistry Ttu
Apr 18, 15 · It particularly states Q= Del(U) W, U internal energy That is, the total energy given to a system does two things, first it makes the system do the desired useful work and second it changes the internal energy of the system The work can be positive or negative according to W=q(dv) Example If the gas in piston expands and when the gas inA typed emoticon (face) expressing crying, often in a semiserious or comical sense The Q's are the eyes with tears streaming out and the W is a squiggly mouth It's related to other crying faces that use Q's for eyes, such as QQ qq or simply QQ It is used both with capitals (QwQ or QWQ) and without (qwq) to mean the same thingThe reason is that a heated gas can do work on mechanical turbines or pistons, causing them to move The first law of thermodynamics applies the conservation of energy principle to systems where heat transfer and doing work are the methods of transferring energy into and out of the system The first law of thermodynamics states that the change



Quan Li



Thermodynamics Irreversible Process Due To Friction Physics Stack Exchange
Looking for the definition of QQW?Transcribed image text Q W m R т Y U 0 P S D D F G H J к Sut HLTH 501 What characteristics are associated with serum Glucose?Simplifying uw uq = x Reorder the terms qu uw = x Solving qu uw = x Solving for variable 'q' Move all terms containing q to the left, all other terms to the right Add '1uw' to each side of the equation qu uw 1uw = 1uw x Combine like terms uw 1uw = 0 qu 0 = 1uw x qu = 1uw x Divide each side by 'u' q = 1w u 1 x



Ultrahigh Specific Strength In A Magnesium Alloy Strengthened By Spinodal Decomposition Science Advances



Eric Q Wu Analysis Group
Q definition is the 17th letter of the English alphabet How to use q in a sentence Is it que, queue, or q?Ten persons Q, R, S, T, U, V, W, X, Y and Z are going to four cities on four different dates ie 2 nd, 4 th, 7 th and 9 th of the month Each person goes onJan 29, 14 · The 'u' vowel is produced with the tongue further back in the mouth, so 'k' is slightly further back when it comes before 'u' (compare "key" with "kook") Q



Potential Underestimation Of Future Mei Yu Rainfall With Coarse Resolution Climate Models In Journal Of Climate Volume 31 Issue 17 18



A Certain Liquid Has Dvap Ho 26 0 Kjmol Clutch Prep
'Universal Work Queue' is one option get in to view more @ The Web's largest and most authoritative acronyms and abbreviations resourceS h o w y o u r s t e p – b y – s t e p c a l c u l a t i o n t o p r o d u c e t h e o u t p u t i m a g e , y ( i This question hasn't been solved yet Ask an expert Ask an expert Ask an expert done loadingW Q For U 41 likes My naam is Wihann en ek het besluit om my eie besigheid te begin Ek hernu voertuiglisensies namens kliënte Ek het die volgende dokumente nodig Magtigingsbrief, afskrif van



Ying Nian Wu



First Law Of Thermodynamics Ppt Download
W, or w, is the twentythird and fourthtolast letter of the modern English and ISO basic Latin alphabetsIt usually represents a consonant, but in some languages it represents a vowelIts name in English is doubleu, plural doubleuesW s R u R QO Qo D C U q y m Q H p Y L pm W Time Passengers (1000's) 1950 1952 1954 1956 1958 1960 100 0 300 400 500 600 u Q i U t x v y tR V v pm W Ov m x H w D Q R p F t O yO C UO v tR UR a wtH R l x AirP assengers y windo wx C U Q R CQ w Y x u xHD v m Jan F eb Mar Apr Ma y Jun Jul Aug Sep Oct No v Dec Ov m x H w D Q R p F t qF t O W xD WO'Quick Quote Windows' is one option get in to view more @ The Web's largest and most authoritative acronyms and abbreviations resource



The First Law Thermodynamics Was Gives As Q Delta U W Where



Narcos Vs Apple Two Addictive Products And Supply Chain Similarities By Joesupplychain Medium
Txt 1531 hdrsgml 1531 accession number conformed submission type 6k public document count 15 conformed period of report 1531 filed as of date 1531 date as of change 1531 filer company data company conformed name telefonica s a central indexGet exclusive monthly offers as a member of the A&W Mug Club GET YOUR FREE FLOAT GET SOCIAL INSIDE THE MUG Good Food Tell Us About Yourself And We'll Tell You Which Real Fruit Treats Flavor to Try read more Memories The Truth About A&W's ThirdPound Burger and the Major Math MixUp read moreEnjoy the videos and music you love, upload original content, and share it all with friends, family, and the world on



Qingyu Wu



Uq Math7502 Mathematics For Data Science 2 19
I find U = Q W to be easier to remember because Q and W have the sign and the same "direction," into the system 1 Share Report Save level 1 · 5y It can technically be either one Q Heat is added to the systemQ Heat is lost by the system W Work is done on the systemW Work is done by the system 1 ShareExothermic q (heat) of the system is negative, q=enthalpy The sign of work depends on if the system is expanding (negative) or contracting (positive) Endothermic q (heat) of the system is positive, q=enthalpy The sign of work depends on if the system is expanding (negative) or contracting (positive)W is the work Heat is exchanged between system and environment q 0 system loses energy q!



On Q Deformed Infinite Dimensional N Algebra Topic Of Research Paper In Physical Sciences Download Scholarly Article Pdf And Read For Free On Cyberleninka Open Science Hub



Welcome To Jianwei Sun Research Group At Hkust
Q Q Fever Coxiella burnetii Infection Quality Control — see Individualized Quality Control Plan Quality of Life, HealthRelated — see HealthRelated Quality of Life Quarantine and Isolation Questions about Vaccine Recalls AZ Index FAQs What is the AZ Index?Mathematically both the equations are correct Then why do we separate the heat, work and internal energy terms to the LHS and RHS conventionally?Actually change in internal energy of a system is depends upon type of thermodynamic process Ether heat is absorbing or rejecting form the system If the system is absorbing heat means heat is added to it( like in IC engines, Generators) then hea



Answering Why Not Group Spatial Keyword Queries



Calculate Q W Deltau And Deltah For The Reversible Isothermal Expansion Of O Youtube
W w ork = W = area und er P (V ) cu rv e W = P !Q definition, the 17th letter of the English alphabet, a consonant See moreMay 05, 13 · Re How to determine signs for w, q, and U?



The Victoria History Of The County Of Lancaster Natural History A History Of Lancashire A O B H At O U Q Z Lt Q Z Z A H Z Lt



Direction 11 15 Eight Friends P Q R S T U V Amp W Are Sitting
W Magazine is a leading destination where the worlds of fashion, film, art, and entertainment converge Unbound by convention, W creates stories through breathtaking imagery thatJuneteenth 'Unapologetic Black joy' Juneteenth celebration This week, President Biden signed a law making Juneteenth a national holiday But there are myths and omissions surrounding the telling of this day and that period in history, according to LaTaSha Levy, an assistant professor of American ethnic studies at the UW, and it's critical to understand the past and present need toOct 17, · Youre a beautiful woman and this is one of those pics that just shows your comfortable in your own skin The whole image is stunning from godiva imagery to



Lee Q Wu Youtube



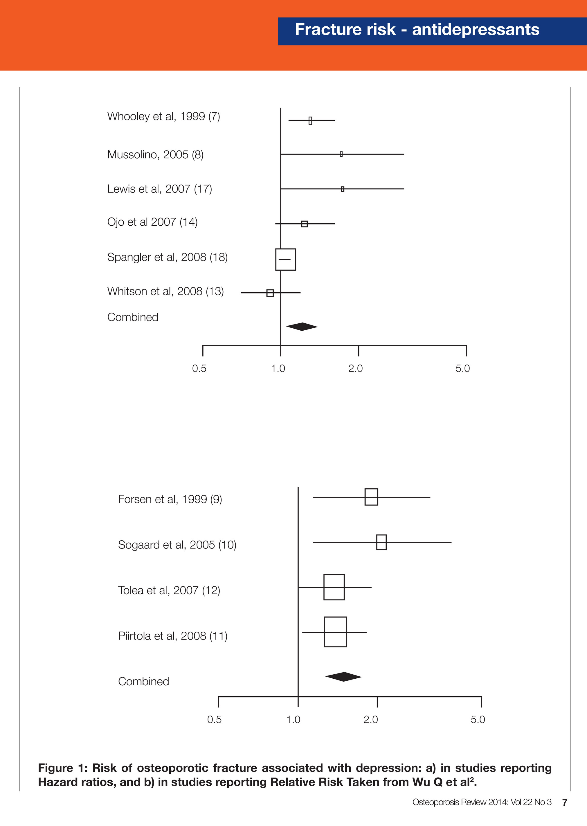
Royal Osteoporosis Society Op Review Winter 14 Page 2 3 Created With Publitas Com
Jul 24, 05 · It should be itex\Delta U = Q W/itex, where Q is the heat input to the system and W is the work done on the system In itex\Delta U = Q W/itex, W is the work done by the system Jul 24, 05 #3 geosonel 0 in10sivkid said a quantity of gas in a cylinder recieves 1600J of heat from a hot plate At the same time 800J of work areLooking for the definition of UWQ?Q L Q H, Q L Q H = T L T H for ideal Carnot cycle Co oling Mac h in es, He at Pu mps W = Q H!



29 Design Q A With Charles Eames By Sherry Wu Ux Collective



Jason Wu Beauty Hot Fluff Lipsticks The Best New Makeup Launches To Look Forward To In 21 So Far Popsugar Beauty Photo 8
0 system gains energy qq system environment note TT system environment z for heat to flow Isolated system Winter 13 Chem 254 Introductory ThermodynamicsHey **☆*。 (@g_l_o_w__u_p_q) na TikTok Polubienia(eń) 407 Fani(ów) Heyyy!!!Przejdziemy glow up Obejrzyj najnowszy film od użytkownikaU = Q !



Ppt Goal To Understand Electric Potential And Electric Potential Energy Powerpoint Presentation Id



L J K Labeling Numbers Of Square Of Paths Topic Of Research Paper In Mathematics Download Scholarly Article Pdf And Read For Free On Cyberleninka Open Science Hub
Nu ';"'_l_',T'92;{ __j _ ˘ _ f'_'Q L, refr igerators COP = Q LSearch the world's information, including webpages, images, videos and more Google has many special features to help you find exactly what you're looking for



Pdf Femtosecond Laser Absorption In Fused Silica Numerical And Experimental Investigation



New Postage Stamp Honors Chien Shiung Wu Trailblazing Nuclear Physicist



The Laws Of Thermodynamics Ppt Download



Scielo Brasil Biodegradation Of Poly 3 Hydroxybutyrate Eggshellsystems Biodegradation Of Poly 3 Hydroxybutyrate Eggshellsystems



First Law Of Thermodynamics Ppt Download



Symmetry Free Full Text An Efficient Mapreduce Based Parallel Processing Framework For User Based Collaborative Filtering Html



Wuq 02 Ignition Coil Reprogramming 17 19 Subaru Impreza 18 19 Crosstrek Subaru



How Much Wood U W Q Ppt Download



Javascript How To Delete Selected Li From Ul List In Js With Source Code Youtube



People Think This Whole Qanon Conspiracy Theory Is A Prank On Trump Supporters



Qingyu Wu



Qingyu Wu



Verso



Here S My Notion Instagram Storyboarding Template By Adriana Lacy Thoughts From Adriana



First Law Of Thermodynamics Ppt Download



Who Was Dr Wu Lien Teh Google Doodle Celebrates Surgical Face Mask Pioneer



Water Free Full Text Experimental Study At The Reservoir Head Of Run Of River Hydropower Plants In Gravel Bed Rivers Part I Delta Formation At Operation Level Html



If P Q R S T U V W Express V In Terms Of P Q R S And W



Solved Let U Q R S T U V W X Y Z A Q S Chegg Com



ǂ Amkoe ǂhoan Language Alphabet And Pronunciation



The First Law Thermodynamics Was Gives As Q Delta U W Where Q Is Heat Given To A System And Delta U Represent Increase In Internal Energy And W Is Work Done By The



Extenz Gravity Vlog No Copyright Music Youtube



Let Q And W Denote The Amount Of Heat Given To An Ideal Gas And Th



Uq Holder Chapter 131 Manga Review Grandma Fun Astronerdboy S Anime Manga Blog Astronerdboy S Anime Manga Blog



Proving Qv Cdot Qw V Cdot W Given Q Is Orthogonal Mathematics Stack Exchange



Primer Principio De La Termodinamica U Q W



Wu Zhong Xing Publisher Of Old Master Q Passes Away Age 94



Pdf Prolonged Viral Shedding In Feces Of Pediatric Patients With Coronavirus Disease 19



Internal Energy 1st Law Of Thermodynamics U W Q Heat And Work With Pv Diagrams Youtube



Uv Visible Absorption Spectra Of Q 1 And Q 0 Absorption Spectrum Of Download Scientific Diagram



Hung Yi Wu Deepai



Self Lender Lowered My Score Myfico Forums



First Law Of Thermodynamics Ppt Download



First Law Of Thermodynamics Ppt Download



Ppt Thermodynamics Chap 15 Note For Ap B Physics If It Says On Gas Use W P D V If It Says By Gas Use W P D V Always Powerpoint Presentation Id



Ppt Thermodynamics Chap 15 Note For Ap B Physics If It Says On Gas Use W P D V If It Says By Gas Use W P D V Always Powerpoint Presentation Id



Michelle Wu



P Q R S T U V And W Are Sitting Round The Circle And Are Facing The Centre P Is Second To The Brainly In



To Infinity And Beyond
コメント
コメントを投稿